Skip to content
Össur Ingi Emilsson, Docent in Lung, Allergy and Sleep Research at the Department of Medical Sciences at Uppsala University.

Press release -

Chronic cough may be hereditary

Chronic cough is among the most common reasons for seeking medical care, with middle-aged women the group most affected. New studies at Uppsala University also show that this condition appears to be a hereditary phenomenon. The studies have been published in ERJ Open Research and PLOS ONE.

“More than 10% of the population has a chronic cough, which has been shown to entail several negative consequences: reduced quality of life, reduced ability to work and voice problems. At present, we have insufficient knowledge about what causes coughing and how best to treat it,” notes Össur Ingi Emilsson, Docent in Lung, Allergy and Sleep Research at the Department of Medical Sciences at Uppsala University.

Two recently published studies from the department have investigated both how cough is currently managed in Swedish healthcare, and whether chronic cough can be hereditary.

One of the studies, based on data from the Swedish healthcare register, showed that one to two percent of the entire Swedish population sought care for chronic cough between 2016 and 2018, usually in primary care. Of those who sought care, the majority appear to have had a long-standing cough. The prevalence is highest among women between the ages of 40 and 60, with around 21,000 women seeking treatment for cough in these three years.

“Women generally seem to have a slightly more sensitive cough reflex, so the threshold for abnormal coughing is lower in women than in men. For me, it was unexpected that only one to two percent of patients seek help for a troublesome cough when over ten percent are affected. This can be partly explained by the lack of effective treatments. There also appeared to be some differences in care between different parts of the country, suggesting that better guidelines are needed for investigating and treating chronic cough,” continues Emilsson.

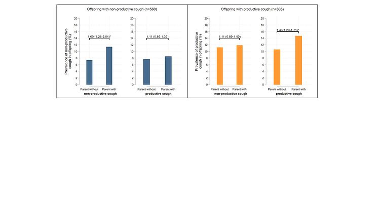
Another study by the same research team has provided a clue as to why some individuals develop chronic cough. Cough appears to be a hereditary phenomenon. In a large population study in northern Europe of 7,155 parents and their 8,176 adult children aged 20 years and over, it was found that if one parent has had chronic dry cough, their offspring were over 50% more likely to have chronic dry cough. This link was independent of confounding factors such as asthma, biological sex and smoking.

“A similar relationship was seen for productive cough, but in those cases smoking had a greater impact on prevalence. These results suggest that there is a genetic link to chronic cough,” adds Emilsson.

The research team has already begun a treatment study into chronic cough. Based on these new findings, the group is now moving forward with studies on genetic variants in collaboration with the Icelandic company deCODE genetics, which analyses the human genome. The aim is to identify which genetic variants are linked to chronic cough.

“This could provide a better understanding of the occurrence of chronic cough, which may ultimately result in better treatments for this difficult-to-treat condition,” explains Emilsson.

The studies are funded by the Swedish Heart Lung Foundation, the Swedish Asthma and Allergy Association, MSD and Region Uppsala.

Össur Ingi Emilsson et al.; Heritability of cough across two generations: the RHINESSA study; ERJ Open Research, 2024, 00071-2024;
DOI: 10.1183/23120541.00071-2024; https://doi.org/10.1183/23120541.00071-2024

Lotta Walz et al.; Characteristics, demographics, and epidemiology of possible chronic cough in Sweden: A nationwide register-based cohort study; PLOS ONE, 2024; DOI: 10.1371/journal.pone.0303804;

For more information:

Össur Ingi Emilsson, Docent in Lung, Allergy and Sleep Research at the Department of Medical Sciences, Uppsala University; email: ossur.emilsson@medsci.uu.se, cell: +46 737 59 96 58.

Topics

Categories


Founded in 1477, Uppsala University is the oldest university in Sweden. With more than 50,000 students and 7,500 employees in Uppsala and Visby, we are a broad university with research in social sciences, humanities, technology, natural sciences, medicine and pharmacology. Our mission is to conduct education and research of the highest quality and relevance to society on a long-term basis. Uppsala University is regularly ranked among the world’s top universities. www.uu.se

Contacts